Codes are written on python and can be executed by both python 2 and 3 as long as the libraries are available.
Siguiendo el orden que se encuentra en el libro, Comenzamos con el analisis de regresión lineal que utiliza la función de costo mostrada en la siguiente figura:
Se utilizan como datos originales para las funciones lineales la ecuación: 4 + 3 * X agregandole un error con distribución normal. El primer ejemplo "Regresionlinealmatricial.py", entrega el resultado mostrado a continuación:

Llegando la regresión a la ecuación 3.96263358 + 3.02663111 * X siendo esta muy cercana a la original.
Ya que las operaciones matriciales necesarias para resolver una regresión lineal son en general muy lentas y complejas de computar, se muestra la opción de optimizar el algoritmo mendiante una opción más optima: descenso por gradiente. Este método utiliza el vector gradiente de la función de costo original, que se muestra a continuación:
Uno de los parámetros más importantes dentro del método de descenso por gradiente es el tamaño de los pasos que se dan entre cada descenso, ya que si es muy pequeño el algoritmo necesita muchas iteraciones para converger, mientras que si es muy alto, podría diverger al saltar el valle donde se encuentra el mínimo.
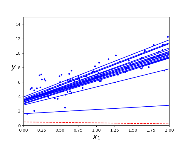
Para ilustrar lo anterior y como primero ejemplo, se muestra desde el código "Descensogradientecomp.py", el comportamiento obtenido al utilizar diferentes valores de paso "step":
En la figura anterior se puede observar la aproximación a los datos, como se esperaba, el comportamiento para n muy pequeño provoca que se necesiten muchas iteraciones para alcanzar el resultado, en la segunda un acercamiento optimo, mientras que en la tercera opción, un crecimiento demasiado grande resultando en sobrepaso.
A continuación, se presenta un metódo optimizado de descenso por gradiente, ya que el anterior utiliza todo el conjunto de datos para computar su resultado, se vuelve lento de ejecutar, como una primera alternativa, se presenta el descenso por gradiente estocástico que en lugar de tomar todo el arreglo, toma aleatoriamente una muestra de los datos a la vez en múltiples ocasiones, lo que le permite utilizar menos memoria por iteración volviendose más fácil de ejecutar.
En el mismo código "Regresionlinealmatricial.py", en la siguiente sección, se encuentra un ejemplo de esta variación de descenso por gradiente, el resultado se muestra a continuación.

El último ejemplo de descenso por gradiente, es una combinación de los dos anteriores, descenso por gradiente por mini lotes, en lugar de iterar a través de todo el arreglo de datos o de sólo un punto, se itera sobre subconjuntos de los datos lo que otorga ventajas en cuestiones de optimización matricial. En la última sección del código, se encuentra esta implementación y la comparación entre los 3 metódos, se muestra a continuación.

En la figura se puede apreciar que todos los metódos se aproximan a los valores originales de la ecuación; 4 y 3. El metodo de lote, tiene el comportamiento más estable mientras que los otros dos oscilan entre sus cambios de valores hasta establecerse en un punto.
Para casos en que los datos a analizar, no puedan ser aproximados por una linea recta, se muestran metódos alternos de solución, comenzando por la regresión polinómica. Este metódo utiliza la misma metodología que la regresión lineal con la diferencia que agrega potencias extras según el grado del polinomio a cada caracteristica. Para los siguientes polinomios, la ecuación que origina los datos es: 0.5 * X^2 + X + 2 agregando nuevamente ruido aleatorio a los datos. Los resultados obtenidos con la regresión polinomica que se encuentra en el código "regresionpolinomial.py" se muestran a continuación
